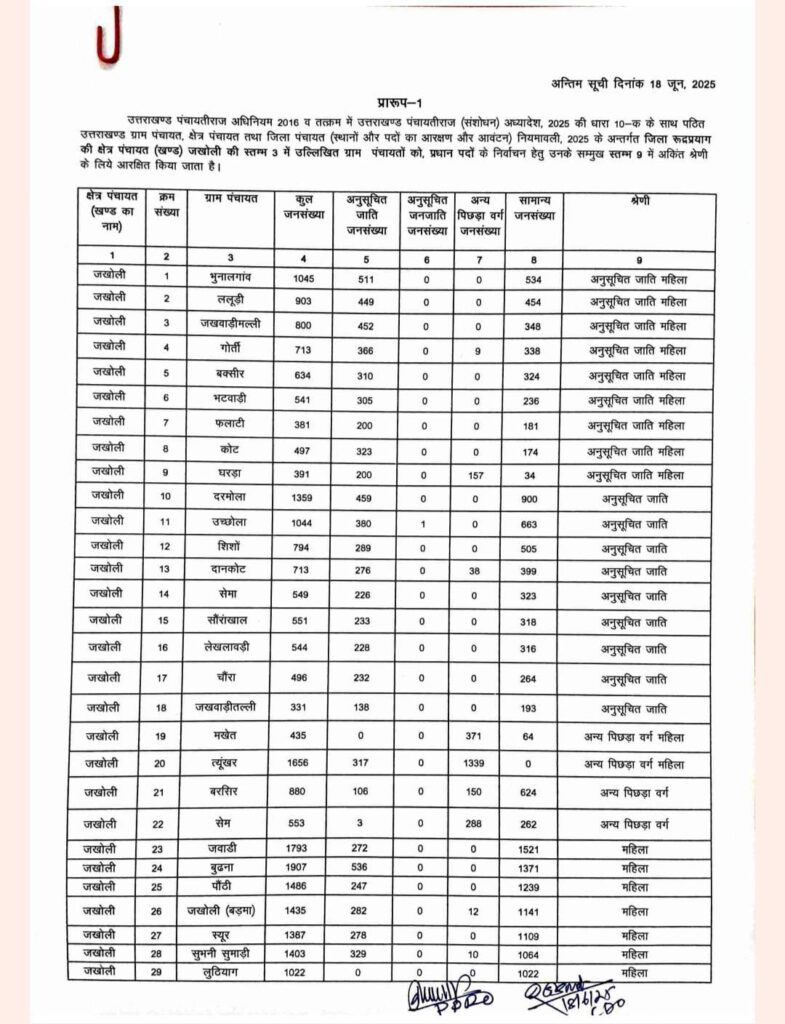
रुद्रप्रयाग।जनपद रुद्रप्रयाग के तीनों विकास खंड जखोली, अगस्त्यमुनि एवं ऊखीमठ की त्रिस्तरीय पंचायत चुनाव हेतु आरक्षण आपत्तियों के निस्तारण के उपरांत ग्राम प्रधान, क्षेत्र पंचायत सदस्यों, क्षेत्र पंचायत प्रमुख एवं जिला पंचायत सदस्यों के प्रादेशिक निर्वाचन क्षेत्रों के पदों के आरक्षण प्रस्तावों पर आपत्तियों की जनसुनवाई के उपरांत जिलाधिकारी/जिला निर्वाचन अधिकारी रुद्रप्रयाग सौरभ गहरवार द्वारा प्राप्त आपत्तियों का निस्तारण करते हुए अंतिम प्रकाशन किया गया है।





















